Đề thi và gợi ý đáp án môn Toán kỳ thi tốt nghiệp THPT năm 2023

P.V
Chia sẻ

(PNTĐ) - Chiều ngày 27/6, sau 90 phút làm bài môn Toán với hình thức trắc nghiệm, thí sinh dự thi tốt nghiệp THPT 2023 trên cả nước đã hoàn thành ngày thi đầu tiên.

 
Dưới đây là gợi ý đáp án đề thi môn Toán.
Cập nhật đề thi, giải đề môn Toán tốt nghiệp THPT ảnh 1
Cập nhật đề thi, giải đề môn Toán tốt nghiệp THPT ảnh 2
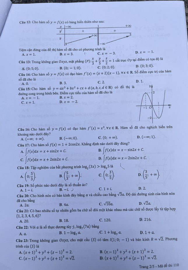
Cập nhật đề thi, giải đề môn Toán tốt nghiệp THPT ảnh 3
Cập nhật đề thi, giải đề môn Toán tốt nghiệp THPT ảnh 4
Cập nhật đề thi, giải đề môn Toán tốt nghiệp THPT ảnh 5

Đề thi Toán, mã đề 110

 

Gợi ý đáp áp đề Toán

Cập nhật đề thi, giải đề môn Toán tốt nghiệp THPT ảnh 6
Mã đề 124.
Cập nhật đề thi, giải đề môn Toán tốt nghiệp THPT ảnh 7
Mã đề 123

Nguồn: Ban tuyển sinh 247

 

Ý kiến bạn đọc

Tin cùng chuyên mục

Tri ân các thế hệ thầy cô

Tri ân các thế hệ thầy cô

(PNTĐ) - Hướng tới kỷ niệm ngày Nhà giáo Việt Nam 20/11 và 60 năm thành lập Trường THPT Nguyễn Thị Minh Khai (1965 - 2025), Hội Cựu học sinh Trường THPT Nguyễn Thị Minh Khai phối hợp cùng Ban Giám hiệu nhà trường và Câu lạc bộ Y Dược Cựu học sinh đã tổ chức Chương trình tư vấn và Giáo dục Sức khỏe dành cho 130 thầy cô và cựu giáo chức.
Học viện Y - Dược học cổ truyền Việt Nam chào đón hơn 1.000 tân sinh viên

Học viện Y - Dược học cổ truyền Việt Nam chào đón hơn 1.000 tân sinh viên

(PNTĐ) -  Ngày 10/10/2025, Học viện Y - Dược học cổ truyền Việt Nam long trọng tổ chức chương trình “Chào tân sinh viên 2025”. Buổi lễ diễn ra trong không khí hân hoan kỷ niệm 71 năm Ngày Giải phóng Thủ đô (10/10/1954 - 10/10/2025) và là dịp đón chào 1.012 tân sinh viên của Học viện, mở ra hành trình mới của những “thầy thuốc tương lai”, đồng thời ghi dấu mốc truyền thống hơn 55 năm xây dựng và 20 năm phát triển của Học viện.
Đặt giáo dục vào trọng tâm chiến lược phát triển

Đặt giáo dục vào trọng tâm chiến lược phát triển

(PNTĐ) - Từ nhiều nhiệm kỳ qua, Hà Nội kiên định quan điểm phát triển: Lấy con người làm trung tâm, lấy giáo dục làm then chốt. Dự thảo Báo cáo chính trị Đại hội XVIII Đảng bộ Thành phố tiếp tục đặt giáo dục ở vị trí “quốc sách hàng đầu”, coi đây là lựa chọn chiến lược để xây dựng Thủ đô Hà Nội văn minh, hiện đại, nghĩa tình và hội nhập sâu rộng với khu vực và thế giới.
Bổ sung quy định xử lí các hành vi xúc phạm nhà giáo

Bổ sung quy định xử lí các hành vi xúc phạm nhà giáo

(PNTĐ) - Bộ Giáo dục và Đào tạo (GD-ĐT) vừa đăng tải dự thảo Nghị định sửa đổi, bổ sung một số điều của Nghị định số 04/2021/NĐ-CP ngày 22/01/2021 của Chính phủ quy định về xử phạt vi phạm hành chính trong lĩnh vực giáo dục và Nghị định số 88/2022/NĐ-CP ngày 26/10/2022 của Chính phủ quy định xử phạt vi phạm hành chính trong lĩnh vực giáo dục nghề nghiệp để lấy ý kiến góp ý theo quy định.
Sở GD&ĐT Hà Nội tiếp tục chỉ đạo các trường đảm bảo an toàn tuyệt đối

Sở GD&ĐT Hà Nội tiếp tục chỉ đạo các trường đảm bảo an toàn tuyệt đối

(PNTĐ) - Chiều ngày 6/10, Sở Giáo dục và Đào tạo Hà Nội tiếp tục có thông báo số 3 gửi UBND các xã, phường, các nhà trường đề nghị các trường chủ động quyết định hình thức tổ chức dạy học trực tiếp, trực tuyến hoặc điều chỉnh thời khóa biểu phù hợp nhưng phải đảm bảo an toàn tuyệt đối cho học sinh và cán bộ, giáo viên, nhân viên.